Lead Scoring com CEP: Como usar a estrutura do código postal brasileiro para priorizar leads

Você sabia que o CEP brasileiro não é apenas um código para entregas? Ele carrega informações geográficas hierárquicas que podem ser usadas para inferir características socioeconômicas dos seus leads — mesmo quando você não tem dados diretos sobre eles.

Neste post, vou mostrar como construí um modelo simples de lead scoring usando apenas o CEP como feature, aplicando estimativas bayesianas para priorizar leads com maior probabilidade de conversão.

Mas, Janderson, o que é um lead e porque ele precisa de um score?

Bom, lead geralmente é entendimento como um cliente potencial que deixou uma forma de você se comunicar com ele, podendo ser um e-mail, telefone, rede social, endereço, etc. Em uma área de vendas, saber pra quem vender é uma das chaves do sucesso, então rankear os melhores possíveis clientes faz parte da inteligência do negócio.


A estrutura do CEP brasileiro

O Código de Endereçamento Postal (CEP) foi criado pelos Correios em 1972 e possui uma estrutura hierárquica de 8 dígitos que vai do geral ao específico:

Os primeiros dígitos contam uma história

O primeiro dígito divide o Brasil em grandes zonas:

DígitoRegião
0Grande São Paulo
1Interior de São Paulo
2Rio de Janeiro e Espírito Santo
3Minas Gerais
4Bahia e Sergipe
5Pernambuco, Alagoas, Paraíba e Rio Grande do Norte
6Ceará, Piauí, Maranhão, Pará, Amazonas, Acre, Amapá e Roraima
7Distrito Federal, Goiás, Tocantins, Mato Grosso, Mato Grosso do Sul e Rondônia
8Paraná e Santa Catarina
9Rio Grande do Sul

Os dois primeiros dígitos refinam ainda mais a localização. Por exemplo, dentro de São Paulo capital:

  • 01: Centro, Consolação, Bela Vista, Jardins
  • 04: Moema, Itaim Bibi, Vila Olímpia
  • 05: Pinheiros, Perdizes, Lapa

Essa granularidade é exatamente o que precisei para análises. Bairros com CEPs iniciando em “01” ou “04” em São Paulo tendem a ter perfil socioeconômico muito diferente de bairros com CEPs iniciando em “08” (zona leste).


O problema: priorizar leads sem dados

Imagine o cenário: você tem uma base de 120 mil leads que demonstraram interesse em fazer intercâmbio. Desses, apenas 25% responderam um formulário de contato/qualificação com informações como faixa de renda. Os outros 75% são uma incógnita. Como priorizar o contato da equipe de vendas?

Uma das soluções é usar o CEP como proxy para renda. A lógica é simples:

  1. Leads que responderam o formulário nos dão a relação CEP → Renda
  2. Apliquei essa relação nos leads que não responderam
  3. Priorizei leads de regiões com maior renda estimada

PS: Esse tipo de abordagem só faz sentido no Brasil devido a nossa desigualdade social. Tendemos sempre a ter bairros reconhecidamente de ‘rico’ e bairros de ‘pobre’.

O modelo: Estimativa Bayesiana por CEP

Por que Bayesiano?

Um problema comum ao agrupar por CEP é a esparsidade de dados. Você pode ter milhares de observações para CEP “01” (centro de SP), mas apenas 3 para CEP “69” (interior do Amazonas).

Calcular a média diretamente geraria estimativas muito instáveis para regiões com poucos dados. A solução é usar shrinkage bayesiano, que consiste em “puxar” estimativas extremas em direção à média quando temos poucos dados.

média_bayesiana = (n × média_local + k × média_global) / (n + k)

Onde:

  • n = número de observações na região
  • k = peso do prior (quanto menor n, maior k)
  • Regiões com poucos dados são “puxadas” para a média global

Mas, Janderson, por que “bayesiano”? Porque usa um conhecimento prévio (a média global) para ajustar a estimativa quando a evidência local é fraca. É o princípio de Bayes: combinar prior (o que já sabemos) com dados novos.

Fallback hierárquico

Nem todo CEP terá dados de treino. Usei a hierarquia do CEP para fallback/plano de ação:

CEP-5 (01310) → CEP-3 (013) → CEP-2 (01) → Média Global

Se não tenho dados para o CEP específico “01310”, uso a média do CEP “013”. Se ainda não tiver, uso “01”, e assim por diante.


Implementação em Python

Estrutura dos dados

Trabalhei com três bases sintéticas:

# interesse.csv: todos os leads
# Colunas: data_interesse, cpf, email, cep

# formulario.csv: leads que responderam qualificação
# Colunas: data_resposta, cpf, intervalo_renda

# intervalo_renda:
#         1: "-R$2.000",
#         2: "R$2.000–4.000",
#         3: "R$4.000–8.000",
#         4: "R$8.000–12.000",
#         5: "+R$12.000"

# compras.csv: leads que converteram
# Colunas: data_compra, cpf, destino, cep

O modelo

class ModeloRendaCEP:
    """Modelo bayesiano hierárquico de renda por CEP."""

    def __init__(self):
        self.media_global = None
        self.stats_cep5 = None
        self.stats_cep3 = None
        self.stats_cep2 = None

    def fit(self, df, col_renda="intervalo_renda_num"):
        """
        Treina o modelo usando dados de formulário.
        
        IMPORTANTE: usar todos os respondentes do formulário,
        não apenas compradores (evita selection bias).
        """
        self.media_global = df[col_renda].mean()
        
        # Calcular estatísticas bayesianas para cada nível
        self.stats_cep5 = calcular_stats_bayesianas(df, "cep5", col_renda, self.media_global)
        self.stats_cep3 = calcular_stats_bayesianas(df, "cep3", col_renda, self.media_global)
        self.stats_cep2 = calcular_stats_bayesianas(df, "cep2", col_renda, self.media_global)

        return self

    def predict(self, df):
        """
        Aplica o modelo com fallback hierárquico:
        CEP-5 → CEP-3 → CEP-2 → média global
        """
        # ... joins e fallback ...
        
        # Score final: 90% renda + 10% confiança
        df["score_final"] = ((df["renda_estimada"] - 1) / 4) * 90 + df["confianca"] * 10
        
        return df

Cálculo das estatísticas bayesianas

def calcular_stats_bayesianas(df, col_cep, col_renda, media_global):
    stats = df.groupby(col_cep)[col_renda].agg(["count", "mean"]).reset_index()
    stats.columns = ["chave_cep", "n_obs", "media_local"]
    
    # k = peso do prior (menos dados → mais shrinkage)
    def calcular_k(n):
        if n >= 50: return 1
        elif n >= 10: return 3
        else: return 5
    
    stats["k"] = stats["n_obs"].apply(calcular_k)
    
    # Média bayesiana
    stats["media_bayes"] = (
        (stats["n_obs"] * stats["media_local"] + stats["k"] * media_global)
        / (stats["n_obs"] + stats["k"])
    )
    
    # Confiança: proporção do dado local na estimativa
    stats["confianca"] = stats["n_obs"] / (stats["n_obs"] + stats["k"])
    
    return stats

Resultados

Resumindo:

flowchart TD
    %% ======= ESTILOS =======
    classDef db fill:#e1f5fe,stroke:#01579b,stroke-width:2px;
    classDef process fill:#f3e5f5,stroke:#4a148c,stroke-width:2px,stroke-dasharray: 5 5;
    classDef final fill:#e8f5e9,stroke:#2e7d32,stroke-width:2px;
    classDef model fill:#fff3e0,stroke:#e65100,stroke-width:2px;
    classDef eval fill:#fce4ec,stroke:#880e4f,stroke-width:2px;

    %% ======= GRUPO 1: DADOS ORIGINAIS =======
    subgraph Raw_Data [Bases Brutas]
        direction TB
        INTERESSE[("interesse.csv<br/>120.000 leads<br/>(Data, CPF, Email, CEP)")]:::db
        FORMULARIO[("formulario.csv<br/>30.000 respostas<br/>(Data, CPF, Renda)")]:::db
        COMPRAS[("compras.csv<br/>7.962 conversões<br/>(Data, CPF, Destino, CEP)")]:::db
    end

    %% ======= GRUPO 2: PREPARAÇÃO =======
    subgraph Preparation [Preparação dos Dados]
        direction TB
        BASE_TREINO["Base de Treino<br/>Formulário + CEP do Interesse<br/>(30.000 leads com renda conhecida)"]
        
        SPLIT["Split 80/20"]
        
        TREINO["Treino<br/>24.000 leads"]:::final
        VALIDACAO["Validação<br/>6.000 leads"]:::process
        
        BASE_SCORING["Base de Scoring<br/>Interesse completo<br/>(120.000 leads)"]
    end

    %% ======= GRUPO 3: MODELAGEM =======
    subgraph Modeling [Modelo Bayesiano]
        direction TB
        
        STATS_CEP{{"Estatísticas por CEP<br/>────────────────<br/>CEP-5: 9.625 únicos<br/>CEP-3: 120 únicos<br/>CEP-2: 12 únicos"}}:::model
        
        MODELO{{"Modelo de Renda<br/>────────────────<br/>Média Bayesiana com Shrinkage<br/>Fallback: CEP5→CEP3→CEP2→Global"}}:::model
        
        SCORE{{"Score Final<br/>────────────────<br/>90% Renda Estimada<br/>10% Confiança"}}:::model
    end

    %% ======= GRUPO 4: AVALIAÇÃO =======
    subgraph Evaluation [Avaliação do Modelo]
        direction TB
        
        EVAL_RENDA(("Validação de Renda<br/>────────────────<br/>Correlação: 0.633<br/>Precision@100: 100%<br/>Lift: 1.46x")):::eval
        
        EVAL_CONV(("Backtest de Conversão<br/>────────────────<br/>Top decil: 8.44%<br/>Baseline: 6.64%<br/>Lift: 1.27x")):::eval
    end

    %% ======= GRUPO 5: OUTPUT =======
    subgraph Output [Resultado Final]
        LEADS_SCOREADOS[("leads_scoreados.csv<br/>120.000 leads<br/>(CPF, CEP, Score, Renda Est.)")]:::final
    end

    %% ======= CONEXÕES =======
    %% Preparação da base de treino
    INTERESSE --> BASE_TREINO
    FORMULARIO --> BASE_TREINO
    
    %% Split treino/validação
    BASE_TREINO --> SPLIT
    SPLIT --> TREINO
    SPLIT --> VALIDACAO
    
    %% Preparação da base de scoring
    INTERESSE --> BASE_SCORING
    COMPRAS -. "Flag: comprou" .-> BASE_SCORING
    
    %% Treinamento do modelo
    TREINO ==> STATS_CEP
    STATS_CEP ==> MODELO
    MODELO ==> SCORE
    
    %% Aplicação e avaliação
    SCORE --> VALIDACAO
    VALIDACAO --> EVAL_RENDA
    
    SCORE --> BASE_SCORING
    BASE_SCORING --> EVAL_CONV
    
    %% Output final
    BASE_SCORING --> LEADS_SCOREADOS

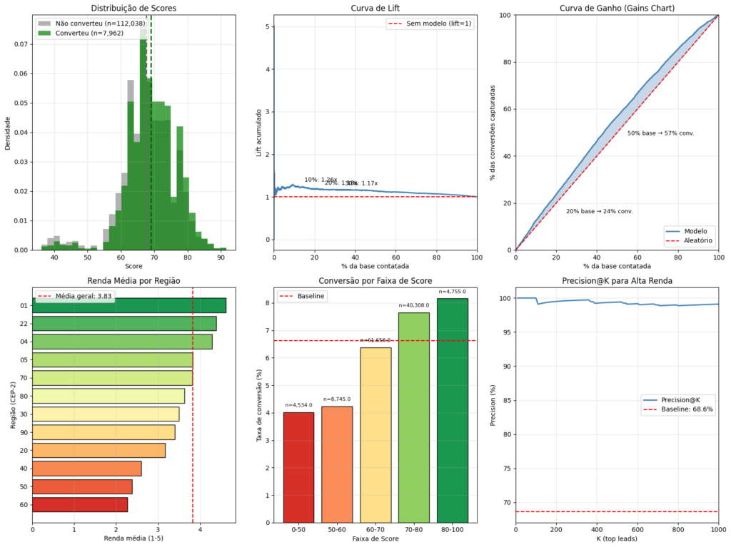
Validação da predição de renda

Testei o modelo em 6.000 leads que responderam o formulário (mas não foram usados no treino):

MétricaValor
Correlação real × estimada0.633
Precision@100 (alta renda)100%
Lift vs baseline1.46×

O modelo consegue identificar leads de alta renda com precisão quase perfeita nos top 100. O Lift é quantas vezes melhor o modelo é comparado ao acaso (baseline). O Precision@100 trouxe pra mim dos 100 leads com maior score, quantos são realmente de alta renda.

Backtest de conversão

O Backtest é uma forma de testar um modelo em dados históricos para ver se ele teria funcionado no passado. Sendo assim, aplicando o modelo em 120 mil leads e comparando com quem realmente converteu:

DecilTaxa de Conversãovs Baseline
9 (top)8.44%+27%
87.29%+10%
15.76%-13%
0 (bottom)3.94%-41%

O top decil converte 2.14× mais que o bottom decil.

Curva de ganho

A curva de ganho mostra quanto você “ganha” ao usar o modelo para priorizar, comparado com escolher aleatoriamente. No meu caso, tenho as seguintes informações quando priorizo leads pelo score:

  • Top 10% da base captura 12.6% das conversões (lift 1.26×)
  • Top 20% captura 23.6% das conversões
  • Top 50% captura 57% das conversões

Na prática, isso significa que a equipe de vendas pode focar em metade da base e ainda capturar mais da metade das vendas potenciais.

Visualizações

Renda média por região

O gráfico acima mostra a renda média (escala 1-5) por CEP-2. Note a clara diferença entre regiões:

  • CEPs 01, 04, 22: Renda média acima de 4 (Jardins/SP, Zona Sul/RJ)
  • CEPs 40, 50, 60: Renda média abaixo de 3 (Nordeste)

Distribuição de scores

A distribuição de scores (primeiro gráfico) entre conversores (verde) e não-conversores (cinza) mostra uma clara separação — conversores tendem a ter scores mais altos.

Curva de lift

O modelo mantém lift acima de 1 (linha vermelha) para aproximadamente os primeiros 70% da base ordenada por score.

Cuidados importantes

1. Selection bias na base de treino

O erro mais comum é treinar o modelo apenas com dados de quem comprou. Isso cria um viés: você aprende a renda média dos compradores por região, não da população geral.

Errado:

base_treino = compras.merge(formulario, on="cpf")  # Só compradores!

Correto:

base_treino = formulario  # Todos que responderam

2. CEP como string

CEPs que começam com zero (como “01310100” de São Paulo) perdem o zero quando lidos como número. Sempre force a leitura como string:

df = pd.read_csv("dados.csv", dtype={"cep": str, "cpf": str})

3. Limitações do modelo

O CEP é um proxy imperfeito para renda. Existem pessoas de alta renda em bairros populares e vice-versa. O modelo funciona bem em agregado, mas não deve ser usado para decisões individuais de crédito ou discriminação.

Conclusão

A estrutura hierárquica do CEP brasileiro é uma ferramenta poderosa para análises geográficas. Combinada com técnicas bayesianas para lidar com dados esparsos, permite construir modelos de scoring eficazes mesmo com informações limitadas.

O código completo está disponível no repositório do projeto. Os dados usados são sintéticos, mas a metodologia é aplicável a casos reais.

Principais aprendizados:

  1. O CEP tem estrutura hierárquica que pode ser explorada (CEP-2, CEP-3, CEP-5)
  2. Shrinkage bayesiano resolve o problema de regiões com poucos dados
  3. A base de treino deve incluir todos os respondentes, não só conversores
  4. Sempre trate CEP e CPF como strings para preservar zeros à esquerda

Alternativas

Caso você queira obter dados de uma rua usando o CEP, o ViaCEP é uma ótima opção. Basta você usar https://viacep.com.br/ws/29210040/json/, substituindo o CEP. A aplicação retorna um json com os dados, incluindo outros dados como SIAFI e código do IBGE.

O Correio não possui uma API para CEP, mas disponibiliza para venda o Diretório Nacional de Endereços (DNE), que é um banco de dados com arquivos nos formatos MS-Access (.mdb) e texto (.txt) que contém mais de 900 mil CEPs de todo o Brasil. Esse produto é vendido na loja do Correios (mas estava fora do ar quando escrevi esse post!)

Gostou do conteúdo? Compartilhe com alguém que trabalha com dados de marketing! 😀


Comentários

Deixe um comentário

O seu endereço de email não será publicado. Campos obrigatórios marcados com *